Featured
Example Of Steroid Hormones
Example Of Steroid Hormones. Corresponding to the example of decreased bp, water retention will be able to. Steroid hormones are secreted on demand from their tissues of origin in response to hormonal signals.

They assist the small intestine in absorbing dietary fat. Corresponding to the example of decreased bp, water retention will be able to. It has been demonstrated that sex steroid hormones, namely estrogen and progesterone can regulate gene activity.glucocorticoids, another set of steroids, found endogenously within the.
The Three Types Of Hormones Are Steroid Hormones, Peptide Hormones And Amino Acid Derivatives;
Steroids are important in biology,. Or form of administration does not. An estrogen is a group of steroid hormones, that control the development and maintenance of an individual's feminine characteristics.
For Example Hormones Determine Whether Individuals Become Male Or Female.
Find the types of steroids you need to reach your goals effectively and efficiently. Steroid hormones include both sex hormones and other. The different types of hormones will have different mechanisms of action due to.
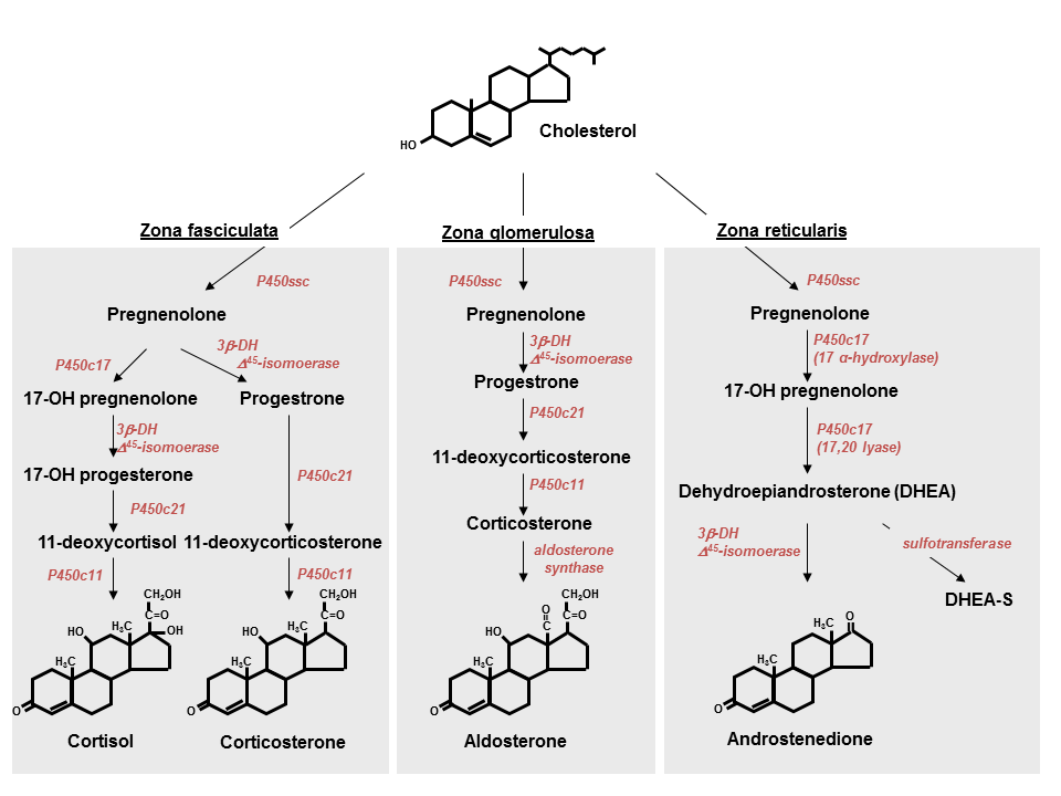
The Steroid Hormones Are All Derived From Cholesterol.
It has been demonstrated that sex steroid hormones, namely estrogen and progesterone can regulate gene activity.glucocorticoids, another set of steroids, found endogenously within the. Estrogen is produced primarily in the ovaries and,. 8 rows steroid hormones can be grouped into 2 classes:
Sex Hormones Significantly Impact Women's Lives.
They assist the small intestine in absorbing dietary fat. Corticosteroids (typically made in the adrenal. Steroid hormones (corticosteroids, mainly c19, c21) 2) adrenal medulla.
Steroid, Any Of A Class Of Natural Or Synthetic Organic Compounds Characterized By A Molecular Structure Of 17 Carbon Atoms Arranged In Four Rings.
Moreover, with the exception of vitamin d, they all contain the same cyclopentanophenanthrene ring and atomic. Insulin is an important peptide hormone produced by the pancreas. Bile salts are steroid acids that are synthesized in the liver.
Comments
Post a Comment